Anders65 Posted November 10, 2025 Author Posted November 10, 2025 Jobbar vidare med delningsfiltret. Kör nu lite parallelt med XSIM4 och VituixCAD. Ju fler mätningar jag kan göra på riktiga element mm ju mer byter jag till dessa i simuleringarna. Men just nu använder jag detta. - Rod Elliotts enviktsmetod för T/S-paramerar på woofern matas in i programmet Basta! Där specas baffeln och en estimerad kurva för room gain (i mitt rum). - Använder Joseph Crowe´s mätningar på hornet ES-600 med samma compression driver jag använder. Tog dessa kurvor från ett youtube-klipp med programmet FPGraphTracer. Lite pyssel kring det, men det fungerar bra. - Andra ordningens passivt delningsfilter med nivåanpassning. Eftersom jag inte gjort delningsfiter tidigare är det en rätt brant men kul inlärningskurva. Både gällande olika program men framförallt kring konstruktion av delningsfilter. Några insikter jag gärna delar så här långt. - Justera Q-värdet på HP-filtret så att lutningen för LP och HP blir så symmetisk det bara är möjligt. LP och HP bör överlappa vid delningsfrekvensen ca 6-7 dB under "nominell" nivå. - Invertera diskantelementet och justera Z-positionen för maximal dipp vid Fc. Större än 20dB. Idealt är att filtret kräver en Z-justering så noll som möjligt. Detta borde vara gynsamt för off-axis tror jag. Kontrollera att dippens frekvens sammanfaller precis med Fc. - Kolla att grupplöptiden inte har en puckel vid delningsfrekvensen. Detta gick i mitt fall att åtgäda med ett frekvensberoende Q-värde (R||C i serie med spolen i HP-filtret). Double A and calle_jr 2 Quote
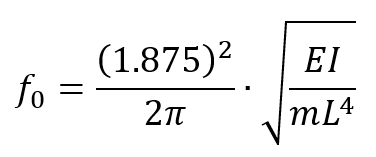
calle_jr Posted November 11, 2025 Posted November 11, 2025 21 hours ago, Anders65 said: Som jag ser det finns två typer av baffelrörelser. Dels en motrörelse och dels en på grund av resonanser. Det verkar som om motrörelsen kan ignoreras på grund av baffelns och elementets tyngd jämfört med rörelsemassans vikt. Har jobbat tillsammans med ChatGPT när det gäller baffelns resonanser och inte minst dess Q-värde. Jag tror att ChatGPT avviker från ämnet. Om man är ute efter att studera hur styv ramen behöver vara för att inte förstora referensens rörelse i förhållande till baselementet, så kan man strukturmekaniskt betrakta högtalaren som en konsol (rörelsen överdrivet illustrerad): Då kan man bedöma lägsta egenfrekvens utifrån: där E = ramens elasticitetsmodul, I = ramens tröghetsmoment, m = baffelns vikt per meter och L = baffelns höjd. Om baselementet svänger med samma frekvens som f0, så kommer rörelsen förstärkas. Om man sätter stag i ramen så kommer det mer vara baffelns styvhet som bestämmer lägsta egenfrekvens, dvs man kommer hamna över baselementets frekvensband: Anders65 and juha 2 Quote
Anders65 Posted November 11, 2025 Author Posted November 11, 2025 Tack @calle_jr Tolkar jag problemet rätt så här: - Utan stag blir baffelns vinklade stöd som en rotationsfjäder eftersom de inte är helt stumma. Detta tillåter viss gungning vid dess lägsta egenfrekvens och övertoner. - Om jag använder 5x30mm vinkade plattjärn borde "rotationsfjäderns" styvhet dock bli hög och flytta upp lägsta egenfrekvens. - Att använda mjuka gummifötter för högtalaren att stå på kan dock tillåta gungning av hela högtalaren vid dess egenfrekvens. Spikes höjer frekvensen men kopplar å andra sidan vibrationer direkt till golvet. Så antingen får man ha mycket låg egenfrekvens eller kanske fötter av hårdare material med någon typ av dämpning mot golvet. Känns som hög styvhet, men helst med "inbyggd" dämpning vore att föredra både för baffel, ev. stag men även för fötter. Eller är jag ute och seglar? Quote
calle_jr Posted November 12, 2025 Posted November 12, 2025 11 hours ago, Anders65 said: Tolkar jag problemet rätt så här Helt korrekt. Antag att den 48mm tjocka baffeln är 500mm bred och 1000mm hög, samt medeldensitet för ek/mdf är 700kg/m3. Man kan dra slutsatsen att det är ingen alls vits att baffeln är så styv eftersom lägsta svängningsmod beror helt på ramens (plattjärnens) utformning. Med en avsevärt styvare (stagad) ram så blir det i stället baffelns böjstyvhet som bestämmer svängningsmoder. Dvs man kan anta att baffeln är i princip fast inspänd i ramen. Dessutom blir inte "konsolen" så hög eftersom inspänningen hamnar högre upp, antag 0.8m. 11 hours ago, Anders65 said: Att använda mjuka gummifötter för högtalaren att stå på kan dock tillåta gungning av hela högtalaren vid dess egenfrekvens. Spikes höjer frekvensen men kopplar å andra sidan vibrationer direkt till golvet. Ja. Med elastomerer under högtalaren så fungerar högtalaren som en stelkropp och svängningsmoderna beror helt på elastomerernas styvhet och placering. Endast högtalarens massa spelar in. Med spikes återgår funktionssättet till ovanstående och det blir högtalarens utformning, material och konstruktionsdämpning som bestämmer egenskaperna. Brasklapp: Jag ska poängtera att det förstås kan uppstå lokala fenomen. Om man som extremfall skulle utföra infästningen av 15"-aren i en 5mm masonite så kommer den såklart svänga och leva sitt eget kaotiska liv, oavsett hur styv ramen är. Ett annat extremfall är drivers som hänger i linor, så som man byggde i USA för snart 100 år sedan. Det skulle vara kul att se hur impulssvaret ser ut för en sådan konstruktion. Anders65 1 Quote
300B Posted November 12, 2025 Posted November 12, 2025 On 2025-11-08 at 10:27, Anders65 said: Visst är det en befogad oro, även om jag räknar med att kunna hantera den om det behövs. För lågbasen har jag möjlighet att komplettera med de två Rel T9x jag har. Utöver det finns en Rel S510. En av osäkerhetsfaktorerna för lågbas är room gain. Har grävt rätt mycket i hur mycket room gain det borde bli. Idealt sätt blir det ingen room gain eftersom rummet inte trycksätts så som med en monopol-högtalare. Men i verkligen blir det inte riktigt så, så det room gain jag landat i och räknar med är ca 3 dB i området 40-60 Hz en nivå som planar ut både nedåt och uppåt från det området till 0dB. Nedanstårende tonkurva är med tänkt baffel, woofer med uppmätta T/S-parametrar och tänkt LP-filter. Simulerat med programmet Basta!. Att komplettera med Rel tror jag kan bli en lyckad lösning. Har inte ngn erfarenhet av T9 men däremot av S510 som jag själv använder i mitt system. Delar den runt 20hz och ca 25% volymstyrka vilket stöttar upp fint i de lägsta frekvenserna men blir även ett stöd i mellanregistret. Mkt intressant projekt som jag följer! Anders65 1 Quote
lindvall Posted November 12, 2025 Posted November 12, 2025 Ett annat sätt att hantera vibrationer är att göra kabinettet lätt, men styvt, så att vibrationerna snabbt fortplantar sig bort från högtalarkroppen. Detta angreppssätt har till exempel Ocellia använt sig av. De högtalarna spelade på Arkenmässan 2004 och har fortfarande inte lämnat minnet. (Se bilder nedan på länken till 6moons hur de tänkte sig att man ska staga upp den öppna lådan.) Högtalarna hade något speciellt, men också kändes basfattiga, vilket kanske inte är så konstigt. Att jag tänker på detta är för att jag och @Ranefjord intervjuade Samuel Furon från Ocellia då när det begav sig. Han sade: Quote Vanliga traditionella högtalare har ett stort problem med vibrationer i kabinettet. För att lösa detta problemet använder man sig vanligtvis av tjocka väggar och intern dämpning. Detta är inte en bra lösning, eftersom energin stannar kvar längre i ett tjockare material samtidigt som dämpningen tar bort detaljer i musiken. Ett bättre sätt är att försöka få ut så mycket energi som möjligt från lådan och se till högtalarkabinettet snabbt kan återhämta sig. Det krävs då en styv och stabil konstruktion som samtidigt är väldigt lätt för att uppnå det målet vi vill åt. Länk: 6moons, Ocellia Länk till vårt över 20 år gamla reportage (där vi också intervjuar Jan Ardstål! ;-) ) Anders65, AlfaGTV and calle_jr 3 Quote
Anders65 Posted November 12, 2025 Author Posted November 12, 2025 11 hours ago, lindvall said: Ett annat sätt att hantera vibrationer är att göra kabinettet lätt, men styvt, så att vibrationerna snabbt fortplantar sig bort från högtalarkroppen. Riktigt intressant inspel @lindvall! Jag gillar verkligen idéer som utmanar. Men ibland är de lite svår att greppa. Men gör ett försök.. En lätt och styv baffel ger mycket högre Q-värde på resonanser än en tyngre och dämpad baffel. Men å andra sidan är resonanserna är kortare i tid och har mindre energi. Problemet med en tyngre och dämpad baffel är att energin, för visserligen väldigt dämpade resonanser, trots allt tas ifrån "nyttosignalen" och att den energin tas ut i passbandet (energin tas från nyttosignalen). Om baffeln kan göras så styv att egenfrekvensen ligger klart över delningsfrekvensen fc borde högt Q-värde kanske inte vara ett problem? Men det går nog åt en mycket styv sandwich-konstruktion. Make sense? Andra resonemang/funderingar kring detta? calle_jr and lindvall 2 Quote
calle_jr Posted November 13, 2025 Posted November 13, 2025 Det är lite ovant (för mig) att prata om Q-värde i den mekaniska domänen. Drivern omvandlar elektrisk energi till potentiell och kinetisk energi. Man kan uttrycka det som en kraft varje ögonblick/tidsenhet F(t). Kraftens storlek beror av baffelns styvhet k, massa m och dämpning c. Baffelns utböjning y är kopplad till styvheten, baffelns hastighet v till dämpningen och baffelns acceleration a till massan. Så varje tidsenhet pågår ett samspel mellan dessa enligt; Styvheten är dominerande för oscilleringar under f0, massan är dominerande över f0 och dämpningen är dominerande vid f0. Det jag tycker är intressant är hur baffeln (referensen) kommer oscillera. Vad låter bäst? Om vi för enkelhets skull fortsätter studera ramen… I ett ytterlighetsfall där ramen är helt odämpad så kommer baffeln oscillera i oändlighet för en konrörelse (kraft). I ett andra ytterlighetsfall där ramen är överdämpad så kommer baffeln böja ut men inte oscillera och aldrig komma tillbaka till vila. För ett specifikt mått av dämpning (kritisk dämpning) kommer baffeln återgå till viloläge (referensläge) på kortast möjliga tid. Tiotusenkronorsfrågan är var på denna skala som det låter bäst? Av någon anledning brukar det för audio hamna på en fraktion av kritisk dämpning, tex 10%. Var på skalan man befinner sig definieras av dämpfaktorn ζ. Underdämpade system har ζ<1. Överdämpade system har ζ>1. Vid kritisk dämpning är ζ=1. Ps. Det finns en enkel koppling mellan Q-värde och dämpfaktor, Så om vi säger att kritisk dämpning är vid Q=0.5 så är det en del som känner igen sig. AlfaGTV, lindvall and Anders65 3 Quote
Anders65 Posted November 13, 2025 Author Posted November 13, 2025 3 hours ago, calle_jr said: et jag tycker är intressant är hur baffeln (referensen) kommer oscillera. Vad låter bäst? Jag tänker just nu så här kring problemet med oscillation i baffeln.. Driverns rörelseenergi orsakar en böjning i baffeln som är beroende av dess massa, styvhet och dämpning. Men när frekvensen hos rörelsen som orsakar böjningen närmar sig baffelns resonansfrekvens för den böjningen börjar energin lagras genom oscillation. Man kan dämpa oscillationen men då omvandlas den lagrade rörelseenergin till värme. För att undvika detta problem kan man se till att frekvenser för oscillation ligger klart utanför driverns passband. Då slipper man problemet att rörelseenergi lagras i oscillation som då behöver dämpas. Som jag ser problemet med dämpning av oscillation just nu är att det tar rörelseenergi från drivern och därmed kommer påverka ljudet. Om det inte går att flytta frekvenserna för oscillation utanför passbandet för drivern borde man ändå vinna på en så styv baffel som möjligt för att minimera lagring av rörelseenergi. Sedan på en mycket styv baffel addera dämpning för de oscillationer som uppstår. Problemet är bara att ökad vikt lagrar mer energi så baffeln bör vara lätt, mycket styv o ha bra dämpning för oscillation inom driverns passband. Kommer skissa vidare på en ny lösning för baffeln... lindvall and calle_jr 2 Quote
calle_jr Posted November 13, 2025 Posted November 13, 2025 4 hours ago, Anders65 said: För att undvika detta problem kan man se till att frekvenser för oscillation ligger klart utanför driverns passband. Då slipper man problemet att rörelseenergi lagras i oscillation som då behöver dämpas. Som jag ser problemet med dämpning av oscillation just nu är att det tar rörelseenergi från drivern och därmed kommer påverka ljudet. Exakt! 4 hours ago, Anders65 said: Om det inte går att flytta frekvenserna för oscillation utanför passbandet för drivern borde man ändå vinna på en så styv baffel som möjligt för att minimera lagring av rörelseenergi. Sedan på en mycket styv baffel addera dämpning för de oscillationer som uppstår. Problemet är bara att ökad vikt lagrar mer energi så baffeln bör vara lätt, mycket styv o ha bra dämpning för oscillation inom driverns passband. Det stämmer. Det är ju inte bara resonanser som gör att referensen inte är i nolläge. Baffeln vibrerar ju även om det inte är resonans. Styvhet gör att det oscillerar med lägre amplitud. Massa gör att vibrationen blir trögare och att resonansfrekvenser åker längre ner i passbandet. lindvall and Anders65 2 Quote
lindvall Posted November 13, 2025 Posted November 13, 2025 (edited) Jag tänker bikakestruktur, lätt och styvt, och gjorde lite sökningar. Något i denna stilen kanske skulle vara bra: https://www.ayrescom.com/products/ayrlite/ayrlite-2071/ från: https://www.diyaudio.com/community/threads/alu-honeycomb-panel.319667/ Tillägg: https://www.sciencedirect.com/science/article/abs/pii/S1359835X22004079 Edited November 13, 2025 by lindvall Tillägg, länk från sciencedirect. Anders65 and calle_jr 2 Quote
calle_jr Posted November 13, 2025 Posted November 13, 2025 3 hours ago, lindvall said: Jag tänker bikakestruktur Det var många som tyckte de små IKEA-borden var väldigt bra skivspelarbänkar (hette de Lack?) De är gjorda med en bikakeliknande macka med en tunn hård ytfaner. Quote honeycomb sandwich structure filled with green materials Undrar vad det är för grön gegga asiaterna tänker använda. lindvall and Anders65 2 Quote
Anders65 Posted November 13, 2025 Author Posted November 13, 2025 53 minutes ago, calle_jr said: Det var många som tyckte de små IKEA-borden var väldigt bra skivspelarbänkar (hette de Lack?) De är gjorda med en bikakeliknande macka med en tunn hård ytfaner. Precis - Lack! Serien finns fortfarande och de tjocka skivorna är väldigt lätta och förhållandevis styva. Jag tittar nu på olika lösningar och tänkbara material. En utmaning är att det är ett stort hål i baffeln.. Jag behöver hitta en lösning som är enkel, snygg, lätt och riktigt styv - trots hålet i mitten för drivern. Det lär bli sandwich eller bikakeliknande lösning. Ett alternativ till mackans ytterlager kan vara 4-5 mm ek-plywood. lindvall 1 Quote
Double A Posted November 13, 2025 Posted November 13, 2025 1 hour ago, Anders65 said: Det lär bli sandwich eller bikakeliknande lösning Hade man haft en tillräckligt stor 3D printer borde man kunnat printat ut en baffel med bikake struktur med elementhål 👌😊 Anders65 1 Quote
Anders65 Posted November 13, 2025 Author Posted November 13, 2025 Hade lite surftid ikväll. Det finns ett flertal som tillverkar styva och mycket lätta skivor/paneler med bikakestruktur av en mängd olika material och dimensioner. Även måttbeställda. Ska kolla möjligheterna till måttbeställda med rätt dimension och hål för drivern. Gissar att det blir för dyrt, men det kan vara värt att skicka iväg ett par förfrågningar i alla fall. Double A 1 Quote
Anders65 Posted November 15, 2025 Author Posted November 15, 2025 Det var lite svårt att hitta rätt konstruktion. Flera parametrar och att mycket inte är tillgängligt i Sverige, i liten kvantitet eller för dyrt. Men just nu ser "Stacken" för baffeln ut såhär. Bygger den med epoxy eller motsvarande - ska rådgöra med min leverantör kring det. 4-5mm ekplywood - kolfiberduk - 15 mm Divinycell H60 - kolfiberduk - 1,5mm ekfanér (framsida). Kanske ser konstigt ut med ply på ena sidan och faner på andra. Men det kommer klarna när jag ritar upp det. Hittade tyvärr ingen lösning med bikakekärna men så här långt är Divinycell näst bäst. Tillgängligt och inte allt för dyrt Quote
Anders65 Posted November 15, 2025 Author Posted November 15, 2025 Hittade ett än bättre alternativ till Divinycell H60, ArmaPET Struct GRX115. Det senare har högre skjuvmodul vilket anger hur mycket materialet deformeras (vinkelförskjuts) när det utsätts för skjuvspänning. Det är alltså ett elastiskt mått — “hur fjädrande” materialet är i skjuvning. Antaget kolfiber för ytterlagren så tror jag styvheten hos baffeln sätts av kärnans skjuvmässiga fjädring. Quote
Muffin Posted November 15, 2025 Posted November 15, 2025 17 minutes ago, Anders65 said: Hittade ett än bättre alternativ till Divinycell H60, ArmaPET Struct GRX115. Det senare har högre skjuvmodul vilket anger hur mycket materialet deformeras (vinkelförskjuts) när det utsätts för skjuvspänning. Det är alltså ett elastiskt mått — “hur fjädrande” materialet är i skjuvning. Antaget kolfiber för ytterlagren så tror jag styvheten hos baffeln sätts av kärnans skjuvmässiga fjädring. Tänker på min bror som tillverkade surfingbrädor i garaget med samma teknik Divinycell/kolfiber, dock utan inbyggda högtalare Anders65 1 Quote
Anders65 Posted November 15, 2025 Author Posted November 15, 2025 Yes! Teknikerna konvergerar Högtalarbaffel, surfbräda, vingar till vindkraftverk eller båtskrov. Dessa material för sandwich-lösningar används lite överallt. Ska bli spännande att se vilka ljudmässiga effekter en mycket styv och samtidigt relativt lätt baffel – som tar minimalt med energi från driverns rörelse – kan ge. calm, Double A and Muffin 3 Quote
calle_jr Posted November 15, 2025 Posted November 15, 2025 On 2025-11-13 at 20:57, Anders65 said: Det finns ett flertal som tillverkar styva och mycket lätta skivor/paneler med bikakestruktur av en mängd olika material och dimensioner. Arne Jacobsen gillade att arbeta med denna kompositernas komposit, i början på 60-talet! Han ritade byggnader med fasadbeklädnad av armerad polyester + honeycomb + armerad polyester. Topolo tillverkar liknande produkter idag. Bild: auonord Anders65 and Muffin 2 Quote
Muffin Posted November 16, 2025 Posted November 16, 2025 19 hours ago, Anders65 said: Yes! Teknikerna konvergerar Högtalarbaffel, surfbräda, vingar till vindkraftverk eller båtskrov. Dessa material för sandwich-lösningar används lite överallt. Ska bli spännande att se vilka ljudmässiga effekter en mycket styv och samtidigt relativt lätt baffel – som tar minimalt med energi från driverns rörelse – kan ge. Ett innovativt exempel från 1969 med glasfiberarmerad plast med skumkärna är den fribärande takkupolen på futuristiska Villa Spies på Torö Nynäshamn, Kupolen tillverkades på fabrik i tårtbitsformade moduler, endast 10 centimeter tjocka och monterades ihop på byggplatsen. Huset var fyllt med futuristiska lösningar, t ex en rund matplats som färdigdukat hissades upp från souterrängvåningen där köket fanns. Förväntningarna stiger nu på hur en fräck dipolhögtalare i sandwitchkonstruktion kommer se ut från mastro @Anders65 Anders65, YYZ, calle_jr and 3 others 6 Quote
calm Posted November 16, 2025 Posted November 16, 2025 3 hours ago, Muffin said: Ett innovativt Huset var fyllt med futuristiska lösningar, t ex en rund matplats som färdigdukat hissades upp från souterrängvåningen där köket fanns. @Muffin Spies hus på Torö har jag sett IRL och är onekligen lite spacead men ide’n med höj och sänkbart bord är ingalunda ny. Fanns redan på Kina Slott och Confidencen från 1750-talet. 3 hours ago, Muffin said: @Anders65 Muffin 1 Quote
Anders65 Posted November 16, 2025 Author Posted November 16, 2025 Då har jag skissat på nya baffel-konstruktionen. Från framsidan, - Ekfanér (1,5-2,5 mm) - Kolfiberväv Biaxiel NCF (non crimp fabric) 210 g/m². NCF väljs för maximal styvhet i X och Y led. - Kärna av ArmaPET Struct GRX115 15mm - Kolfiberväv Biaxiel NCF 210 g/m² - Ekplywood 4,6 mm Lamellering med epoxy. Drivern skruvas från framsidan mot kolfiber/ekplywood. 8x M6 skruv med stora brickor på baksidan. Sidovingarna av rökfärgad akryl tejpas med tunn dubbelhäftande tejp mot kolfiber. Vingarnas kant möten ekfanér som är ungefär lika tjock. Kantlist av ek limmas på baffelns ovansida och ev. långsidorna. plind, lindvall, P-pan and 2 others 5 Quote
Anders65 Posted November 18, 2025 Author Posted November 18, 2025 Baffeln kommer bli riktigt styv, vilket borde minska risken för att resonanser påverkar ljudet. Styvheten gör att de resonanser som ändå uppstår är korta i tid och innehåller så lite energi som som möjligt. Jag räknar med att de dämpas av baffelkonstruktionen i sig. Att få ner den energi som omsätts i värme i baffeln är grundtanken för att få så ofärgat och högupplöst ljud från drivern som möjligt. Om det fungerar bra får förstås framtiden utvisa. Även om baffeln kommer att stå ganska stabilt på golvet (tänker mig spikes), så får den inte fungera som en fjäder i Z-led (fram o tillbaka). För att hantera detta tänker jag mig ett stöd av MDF limmat på mitten av baffelns baksidan. En fot (spike) längst bak på stödet gör att högtalaren vilar på tre spikes. Efter en del funderande så tror jag att jag har landat i en ovanlig lösning för hornet. Jag ser ingen annan väg än att låta hornet stå på ett eget stativ precis bakom baffeln. Utan att nudda baffeln. Det är den enda lösningen jag ser för att mekaniskt frikoppla vibrationer från woofern till hornet. Det kommer kanske se lite märkligt ut, men tror ändå det kommer bli bra. Bilder kommer så småningom. AlfaGTV, calle_jr, Double A and 2 others 5 Quote
calle_jr Posted November 18, 2025 Posted November 18, 2025 3 hours ago, Anders65 said: Jag ser ingen annan väg än att låta hornet stå på ett eget stativ precis bakom baffeln. Utan att nudda baffeln. Det är den enda lösningen jag ser för att mekaniskt frikoppla vibrationer från woofern till hornet. Frågan är om baffelvibrationer hörbart kommer påverka hornet. Å ena sidan kommer baffelvibrationer med någon amplitud att tala om ligga långt under hornets omfång. Men å andra sidan kommer de modulera varenda audiosignal som hornet spelar, så att tex en 1kHz-ton egentligen pendlar mellan tex 950 och 1050 Hz. Vad som blir hörbart beror både på vilken frekvensavvikelse (+/-) och vilken moduleringsfrekvens det blir. Man skulle behöva räkna på det för att vara säker, men om du frikopplar så tar du det säkra före det osäkra. Anders65 1 Quote
Anders65 Posted November 18, 2025 Author Posted November 18, 2025 1 hour ago, calle_jr said: Man skulle behöva räkna på det för att vara säker, men om du frikopplar så tar du det säkra före det osäkra. Yes, jag måste nog ta det säkra före det osäkra här. Open baffel vibrerar mer än vanliga lådkonstruktioner så jag vill inte riskera något här. Så här tänker jag mig att det skulle kunna se ut. Spåret i plattan för hornet är för justering i Z-led (timing) och för justering mot lyssninghöjd - om det skulle behövas. Spikes saknas i bilden (skulle bli totalt 6-7 st). Kan tillägga att jag tänkt montera/bygga delningsfiltret på "något bra sätt" på hornstativets basplatta. Fick hem lite komponenter för att testa delningsfilter så smånimgom. Tänkte köra luftlindat o polypropylen med olja (bra pris/prestanda när jag testade kondensatorer för förstärkaren). calle_jr, Muffin, calm and 2 others 5 Quote
Anders65 Posted November 18, 2025 Author Posted November 18, 2025 12 hours ago, calle_jr said: Men å andra sidan kommer de modulera varenda audiosignal som hornet spelar, så att tex en 1kHz-ton egentligen pendlar mellan tex 950 och 1050 Hz. Känns som en mekanisk koppling mellan baffel och horn kan ge intermodulationsdistortion från hornet. Om den riskerar att finnas utanför hörselns maskering av sidband är en distortion jag tror man verkligen vill undvika. Quote
Anders65 Posted November 20, 2025 Author Posted November 20, 2025 Dagens status i projektet är såhär.. - Hornen är på tillverkning och skickas på måndag från Asien - Jag kommer byta ut kammaren på kompressions-drivaren till en med större volym för att sänka resonansfrekvensen (konstruerad av Joseph Crowe). Nya kammare är på väg från Kanada. - Leverantörer av sidovingar och material till baffeln är valda. Ritningar är klara och offerter finns. - Planerar att bygga sandwich-konstruktionen av baffeln själv. Ett spännande projekt i sig då jag inte jobbat med kolfiber och epoxy. - Högtalarelement och komponenter till delningsfilter finns hemma. - Det jag behöver lösa är fräsning av baffel och delar till hornstativet. calm, calle_jr, plind and 2 others 5 Quote
Double A Posted November 20, 2025 Posted November 20, 2025 Härligt att projektet går framåt!😊 Jag följer detta med nyfikenhet och spänning👍 Anders65 1 Quote
calle_jr Posted November 20, 2025 Posted November 20, 2025 Jättekul! Ser mycket fram emot vart detta tar vägen. Strukturmekaniskt är det mer effektivt att luta rören till hornstativet enligt nedan skiss, eftersom de då dynamiskt överför tryck- och dragkrafter hellre än böjmoment. Strukturen blir då mycket styvare mot laterala rörelser. AlfaGTV, Anders65 and Muffin 3 Quote
Recommended Posts
Join the conversation
You can post now and register later. If you have an account, sign in now to post with your account.