Jump to content

Recommended Posts

Posted

kap-5.jpg

 

I delkomponenterna till en vinylspelares drivverk brukar man normalt inbegripa plint, subchassi, topplatta, armbord, motor, tallrik och ev undertallrik, motor, lager och drivmekanik. En del drivverk saknar delar av dessa komponenter och en del har andra delar, men såhär ser ett urtypiskt drivverk ut:

 

pic-05-02.jpg

 

 

En fundamental funktion hos drivverket är drivsättet. Följande illustration visar hur ett drivhjul ligger an mot tallrikens insida. Mellanhjul (idler wheel) var en vanlig lösning hos tidiga skivspelare, framför allt för att undvika att motorvibrationer fortplantar sig till tallriken.

 

pic-05-03.jpg

 

 

Såhär gjorde man på den klassiska Lenco L75:

 

pic-05-04.jpg

 

En lång rad finurliga mekaniska lösningar kom fram, och så småningom utkristalliserades två vitt skilda konstruktionsprinciper för drivverk; remdrift respektive direktdrift.

 

 

REMDRIVNA SPELARE

 

Remdrivna spelare karakteriseras främst av att de drivs av en motor som är kopplad till skivtallriken eller en undertallrik via en rem, så vi börjar väl med själva remmen :)

 

pic-05-05.jpg

Drivverk med lätt tallrik har ofta en undertallrik som remmen driver med motorn dold. Tunga tallrikar har ofta remmen i underkant mot tallrikens periferi.

 

 

Remmen

Remmens uppgift kan tyckas enkel, den ska ju bara överföra motorns rotation till tallriken, men problemen är många. Förutom att överföra rotationen ska den även isolera tallriken från motorns ljud/vibrationer. Alla motorer vibrerar på ett eller annat sätt, det handlar bara om hur mycket och på vilket sätt. Remmens uppbyggnad (tvärsnitt och materialval) och geometrin mellan motorns drivhjul och tallrik/undertallrik skiljer mycket mellan olika skivspelare. Det finns nog lika många teorier om detta ämne som som det finns tillverkare.

 

pic-05-23.jpg

 

 

Vissa tillverkare förordar en så kort rem som möjligt för att motverka dynamisk töjning, andra anser att det ska vara en lång rem för att isolera motorns vibrationer så effektivt som möjligt. Några väljer att lägga remmen på en undertallrik, medan andra lägger den direkt mot tallrikskanten.

 

pic-05-06.jpg

 

 

Det finns även teorier som säger att remmen inte bör ha kontakt med tallriken och motorns drivhjul på mer än halva sin längd. En kort rem är oftast sämre på att isolera motorvibrationer än en lång, men en lång rem är sämre som momentförmedlare, d.v.s. det blir oftast en viss "gummibandseffekt" mellan motorn och tallriken. En lång och elastisk rem tillsammans med en tung tallrik ger gärna en sträckning av remmen på motorns "dragsida" och ett "slack" på andra sidan. Om remmens "fria" längd halveras så halveras förlängningen om remmen spänns med samma kraft.

 

pic-05-07.jpg

Bilden ovan är kraftigt överdriven.

 

 

Detta fenomen genererar oönskade vibrationer/dynamiska hastighetsavvikelser och för att minimera dessa väljer många tillverkare att använda en stabilare och mindre elastisk rem, ofta i form av ett förhållandevis stumt snöre. Det är inte ovanligt att motorn är separerad från plinten för att på så sätt kunna justera remspänningen.

 

En elastisk rem med cirkulärt eller kvadratiskt tvärsnitt kommer att bli oval respektive rektangulär när den trycks mot tallriken. Det gör att remmens pådrivande vridmoment kommer variera. Ytterst marginellt, men dock. En tunn styv tråd eller en flat rem ger inte den effekten. En motor med ryckig gång och/eller en felkomponerad kraftöverföring mellan motor och tallrik kan ge ett ganska högt wow & flutter-värde. Både svaj och fladder påverkar tonhöjden och fladder distorderar dessutom toner, speciellt rena toner som piano. En oegentlighet som kommer en gång per varv skapar ett svaj om 0.55Hz för 33-varvare och 0.75Hz för 45-varvare. Man talar även om Drift (avdrift) i detta sammanhang även om det sällan anges i skivspelarnas spec utan ingår då som en del av svajet. Drift eller Speed drift är en lågfrekvent hastighetsvariation (<1 Hz) som oftast genereras av dålig precision vid tillverkningen, ojämn rem, dåliga tallriks/motor-lager, frekvensvariationer på nätfrekvensen eller en inkompetent motorstyrning. Självklart har LP-skivans planhet en stor inverkan på svaj och fladder. Det finns diverse produkter som planar ut ojämna skivor, exempel 1 och exempel 2.

 

Drift (avdrift) = extremt lågfrekvent hastighetsavvikelse (< 1 Hz).

Wow (svaj)=lågfrekvent hastighetsavvikelse (1 Hz - 10 Hz).

Flutter (fladder)=högfrekvent hastighetsavvikelse (>10 Hz).

 

Det motorljud som remmen transporterar vidare till tallriken kommer att hittas under mätvärdet för skivspelarens Rumble (muller). Rumble är ett samlingsbegrepp för det oljud som samlas i tallriken och där inräknas även tallrikslagret. Rumble mäts med roterande tallrik, men utan musik vilket innebär att alla signalrelaterade vibrationer ignoreras, det är bara mekaniskt oljud.

 

Rumble_jigg.jpg?dl=0

Thorens modell av jigg för mätning av rumble. Nålen placeras på den lilla "klacken" längst
ner till vänster och den lättrade mässingsklumpen sätts på spindeln.

 

VPI har kombinerat remdrift med ett slags brythjul. Såhär:

 

vpittbl1.jpg

VPI TNT V Hot Rod. Bild: Stereophile

 

 

En kombination av lång och kort rem ser vi också på Simon Yorke Designs Series 7 där man mellanlandar och byter rem. Motorns oljud kommer att dräneras bort via det extra tornet.

 

 

S-7%2002.jpg?dl=0

Remdrift med brythjul på en SYD 7. Bild: pinterest.com

 

 

DIREKTDRIVNA SPELARE

 

Man kan tillämpa direktdriften med en vanlig motor eller med en lösning där själva tallriken får agera rotor.

 

pic-05-09.jpg

Direktdrift med vanlig motor.

 

 

pic-05-10.jpg

Direktdrift där tallriken är rotorn.

 

 

pic-05-11.jpg

Samma bild, men sedd uppifrån. (16-polig motor).

 

 

Direktdrivna skivspelare är tyvärr inte lösningen på alla problem vad gäller att få tallriken att snurra med rätt hastighet och så tyst som möjligt. Vissa problem löses, men andra och nya uppstår. En akilleshäl för direktdrivna verk är just att vibrationer från motorn fortplantar sig till tallriken och vidare till pu+tonarm. Lenco och Garrard utvecklade tidigt olika lösningar med mellanhjul för att undvika detta. Ett annat problem som framför allt många av de tidigare direktdrivna spelarna led av var ett högt flutter-värde, men tekniken har utvecklats och motorstyrningen har förfinats. Mer om detta i nästa avsnitt. En av fördelarna är att motorn i en direktdriven spelare har ett högt vridmoment vilket i sin tur gör att den kommer upp i rätt varvtal betydligt snabbare än sina remdrivna kusiner. Det är en egenskap som har prisats av DJ's och radiostationer, men det kanske inte har så stort värde för audiofilen.

 

 

Sammanfattning om drivning: Det finns inget rätt eller fel här heller. Tillverkaren använder den typ av överföringsgeometri som han anser ger bäst resultat utifrån den övriga konstruktionen. Kraftöverföringen mellan motor och tallrik är bara en liten del av helheten och det som fungerar bra på den ena spelaren fungerar kanske inte alls på nästa. Det går följaktligen inte att varken risa eller rosa en spelare utifrån att titta på valet av kraftöverföring. Remmen är en viktig del i kraftöverföringen hos remdrivna spelare och dess egenskaper i form av bl.a. elasticitet och grepp (friktion) kan vara helt avgörande. Att köpa en noname-rem som ersättare till den gamla remmen garanterar inte att du får en rem med rätt egenskaper. Många ersättningsremmar är tillverkade av ett generellt material och det enda som stämmer med originalet är längden. Snåla inte, du kan påverka spelarens prestanda väldigt negativt med fel rem. För direktdrivna spelare är motor, avisolering, fladder och balansering viktigt.

 

 

DRIVVERKETS STOMME OCH UPPHÄNGNING

 

Plintens huvuduppgift är att tjäna som robust fundament till tallrikslagret utan att överföra vibrationer till tallriken. Ett stelt drivverk karakteriseras av att tallrikslager och tonarm sitter hårt monterade på samma "platta" (plint) som apparatfötterna är monterade på. Ett flytande verk har ett upphängt subchassi där tallrikslager och tonarm är monterade och därmed isolerade från själva plinten. Det kan vara ett stående subchassi (står på fjädrarna) eller hängande (suspended) som på en del spelare från Thorens, Linn mm.

 

Stelt drivverk

Fördelen med ett stelt drivverk är att man får en fast koppling mot underlaget och systemet LP-tonarm-pu kan arbeta i en fast miljö utan att oscillera i en slags odefinierad rymd.

 

pic-05-01.jpg

 

 

Det finns dock åtminstone tre utmaningar med detta:

  • Underlaget (racket+golvet) är i sig inte vibrationsfritt. Detta gör att man måste avisolera från stomljud som annars fortplantar sig i racket direkt till drivverket, och då såklart vidare till pickup.
  • Motorvibrationer. Detta måste lösas av konstruktören, och är en viktig del både för direkt- och remdrivna spelare. Inte bara mellan drivhjul och tallrik, utan även mellan motorns upphängning och tallrikslager.
  • Feedback. En spelare med stelt drivverk har ingen avisolering mellan nål och högtalare vilket innebär att den avlästa signalen kan ge rundgång. Knacka på tallriken när du spelar ett tyst spår. Om knackningar hörs ut i högtalarna har du rundgång som bör avisoleras. Självklart inte för att knackningarna hörs utan för att samma typ av vibrtationer vid avläsningen kommer ge samma effekt och det kan förutom att det förvränger signalen i värsta fall leda till extrem feedback som skadar högtalarna.

 

Avisolering av stela drivverk kan potentiellt försämra spelarens prestanda. Vi säger inte att det är så, men om ett drivverk är konstruerat för att vara helt stelt uppställt baserat på endera förutsättningar och filosofier, så omkullkastas ju dessa om man ställer dem på fjädring. Man får prova sig fram och diskutera med tillverkaren. Ett tips är att minimera avisoleringen till precis den mängd så man inte hör rundgång. Det brukar ge bäst basåtergivning, tydlighet och dynamik.

Stela drivverk blir normalt bättre med hög massa i plint och tallrik, eftersom det ger en tröghet (motstånd) mot vibrationskällor. Med stor massa och rätt materialval absorberas vibrationer med konstruktionsdämpning (hysteresis). Styva och hårda material transporterar som bekant vibrationer bättre än veka och mjuka, så även här har man en delikat designuppgift i materialkombination där verket ska tillåta fortplantning av vibrationer och absorbera dem så nära kritisk dämpning som möjligt. Ett exempel är Simon Yorkes bottenplatta, som är mycket stum, ganska hög massa och mycket hög konstruktionsdämpning. Stela drivverk är också enklare att få till med remdrift än med direktdrift eftersom motorn då kan frikopplas helt från plinten.

 

 

drivverk-04.jpg

Exempel på stela drivverk. Från vänster Brinkmann Balance, Kuzma Stabi XL, Simon Yorke SYD10. Bilder från resp tillverkare.

 

 

Det finns också föteträdare för låg massa, framför allt Rega, som menar att plinten bör vara så lätt som möjligt för att förhindra att lager- och motorljud fortplantas till tallrik och LP. Man anser på samma vis att tallriken inte bör vara så tung att det inte går att konstruera ett vettigt lager. Det är klart, om man inte adresserar och hanterar dessa egenskaper i konstruktionen, så är det väl bättre att göra ett lätt drivverk och tallrik. All konstruktion är kompromisser mellan för- och nackdelar där inte minst material- och tillverkningskostnader spelar in. Men vi har inte funnit någon ordentlig teori, vare sig från Rega eller någon annan, som på ett tydligare sätt visar de bärande tankarna bakom lätt design. Det förekommer en del uttalanden i Regas marknadskommunikation men det utgör inget underlag för denna genomgång.

 

 

Flytande verk

Ni har inte tid, och vi har varken möjlighet eller kunskap att beskriva alla typer av flytande verk som förekommer på marknaden utan vi nöjer oss med en generell beskrivning av de vanligaste.

I sin iver att tillverka den perfekta skivspelaren började den ena efter den andra tillverkaren att konstruera verk med ett flytande subchassi där tallrik och tonarm var monterade. Motorn sitter oftast kvar i plinten för att på så vis eliminera ett av de störande momenten vid avspelning, nämligen att motorvibrationerna fortplantades i plinten till tallriken.

Varianterna är många och resultaten skiftande. En del har lyckats över förväntan, men det fanns också de som snubblade innan mållinjen. En av de vanligaste koncepten är att subchassit står på koniska fjädrar som i sin tur står på ett säte upphängt i en bult förankrad i topplattan.Genom att använda en mutter som stopp kan man justera höjden och därmed balansera subchassit till vågrätt läge.

 

susp_1.jpg?dl=0

 

 

I denna stora grupp hittar vi bl.a. Thorens, AR och Linn.

En enklare variant är med tre, eller fler cylindriska fjädrar, ofta utan några justeringsmöjligheter.

 

susp_2.jpg?dl=0

 

 

Bilden nedan visar ett fjäderpaket till en Dual.

 

Dualfjadrar.JPG?dl=0

 

 

Inte föga förvånande finns det tillverkare som har valt att lösa uppgiften utifrån en helt annan infallsvinkel.

 

susp_3.jpg?dl=0

 

 

Varför inte hänga subchassit i fjädringen och varför använda fjädrar som alla andra? Vi tar en bild från verkligheten också:

 

SME_tt.jpg?dl=0

SME 20/12 sedd från sidan. Detta är en enkel och väl fungerande lösning.

 

 

Det är lätt att stirra sig blind på olika konstruktionslösningar, men målet är detsamma för dem alla och hur man löst det är kanske inte så viktigt, bara det fungerar. Tyvärr har även den här medicinen biverkningar, det är ett fåtal lösningar som är fit and forget, d.v.s. långtidsstabila. Vissa spelare fungerar problemfritt i många år, medan andra modeller behöver samma TLC (Tender Loving Care) och kärleksfulla omsorg som en gammal veteranbil.

Bilden nedan visar uppbyggnaden av en typisk skivspelare med flytande verk, typ Thorens.

 

susp_4.jpg?dl=0

 

 

Subchassit i vårt exempel är upphängt i tre fjädrar och fjädrarnas placering är inte slumpmässigt, den är beräknad för att få hela subchassit's tyngdpunkt inklusive tallrik och tonarm så nära fjädringscentrum som möjligt. Subchassits tyngdpunkt kommer därför inte att vara det samma som tallrikens centrum vilket gör att t.ex. en tung skivpuck kan få subchassit att luta, eller gunga osymmetriskt. Ett välbalanserat verk kommer att gunga parallellt med horisontalplanet.

 

parallell.gif?dl=0

 

Tyngdpunkten bör vara ganska nära tallrikens centrum så att de tre fjädringarna kan ha samma styvhet och ungefär samma belastning. Annars kommer verket bete sig konstigt i drift, även om det är perfekt i våg när det står stilla . Ett sned- eller felbelastat verk kan äventyra fjädringen på många sätt. Worst case är nog när höger och vänster sida börjar jucka i mottakt.

 

wobbel.gif?dl=0

 

De flesta flytande verk behöver kontrolleras/justeras emellanåt och det finns mängder av instruktioner på nätet hur man ska gå tillväga, så det tar vi inte upp här. Det är extremt viktigt att plinten på ett flytande verk verkligen står i våg annars kommer subchassit att driva iväg åt den lägsta punkten. Har skivspelaren stått felaktigt uppställd med tallriken monterad under en längre tid kan det till och med ha gått så långt att subchassit tar i någon/några av fjädrarnas upphängning. En eller flera upphängningspunkter har då fastnat och slutat gunga.

sid_gung.gif?dl=0

 

 

Fjädringen/upphängningen kommer därmed inte att fungera som det är tänkt och en service behövs verkligen. Subchassit kan se ut på många vis, men funktionen är densamma.

 

susp_linn.jpg?dl=0

Subchassi till en Linn LP12

 

 

Den beskrivna typen av verk kan med tiden ändra beteende även om de står perfekt i våg. Vi tar Thorens TD 16x-serien som ett exempel. Thorens har dämpat fjädringen med en bit skumgummi inuti fjädern, inget varar för evigt och definitivt inte skumgummi. Det kan antingen ha sönderfallit i sina minsta tänkbara beståndsdelar eller krympt och stelnat till en oformlig klump. Oavsett vilket har det påverkat fjädringen. Det vanligaste är att skumgummit har vittrat sönder och lämnat fjädringen helt odämpad och spelaren har blivit nervös i sin upphängning. Ett mindre stabilt golv/möbel kan medföra att man får åla sig fram till skivspelaren för att pickupen ska vara kvar i spåret. Har ni kört en bil med defekt stötdämpning förstår ni vad vi menar.

Det finns tillverkare som har utvecklat en mer eller mindre sofistikerad dämpning av subchassits rörelser. Vi kommer bara att visa ett exempel och vi väljer Kuzmas oljedämpning.

 

susp_8.jpg?dl=0

Förenklad bild på Kuzma's lösning.

 

 

Fjäderkoppen är fylld en trögflytande silikonolja som effektivt dämpar fjäderns rörelser utan att påverka avkopplingen. Med hjälp av fjäderns och oljans beskaffenhet kan man stämma av upphängningen till önskvärd frekvens. Kuzma har valt att lägga sig på 2,2 Hz.

 

susp_kuzma.jpg?dl=0

Ett kollage av bilder på en Kuzma Stabi Ref.

 

 

Som synes har Kuzma valt att göra hela den övre plattan som subchassi och på den sitter spindel och tonarm monterad. På den undre plattan, plinten, sitter de fyra fjädertornen, motorerna och fötterna.

 

Det finns även lösningar med fristående stötdämpare av biltyp (fast mindre), magnetisk dämpning enligt virvelströmsprincipen och mer eller mindre avancerade varianter av friktionsdämpning (typ en bit skumgummi inuti fjädern).

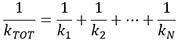
Upphängningen dimensioneras för att så effektivt som möjligt avisolera för vibrationsspektra som kan påverka pu+tonarm, och de bästa drivverken är avisolerade vid 5 Hz eller därunder. Man bör ligga klart under pu-tonarm-resonans (7-12 Hz), men kanske inte så lågt som 0.50-0.75 Hz eftersom ojämna skivor då riskerar sammanfalla med harmonisk svängning. Åtminstone inte om fjädringen är odämpad. Många kombinerar fjädringen med dämpning, exvis att fjädrarna är inkapslade i olja eller att upphängningen är en kombination av olika elastiska material som samtidigt konstruktionsdämpar. Ett upphängt verk med väldigt låg avisoleringsfrekvens påverkas inte alls så mycket av vilket underlag den ställs på. I övrigt gäller konstruktörens filosofi i minst lika hög upphängda drivverk, eftersom upphängningen är dimensionerad så att drivverket inte ska exciteras varken horisontellt eller vertikalt. Om man ställer ett upphängt verk på mjuka kopplingar får man ett system av seriekopplade fjädrar:

 

drivverk-02.jpg

Till vänster två seriekopplade fjädrar med styvhet 4 N/m. Till höger en fjäder med 2 N/m ger samma hoptryckning.

 

 

Mekanisk styvhet är alltså analogt med elektrisk konduktans, dvs det reciproka värdet av motstånd. På samma sätt är mekanisk komplians analogt med elektrisk resistans. Två fjädrar på vardera 4 N/m i serie ger 2 N/m för hela systemet. Med samma massa sänks egenfrekvensen med en faktor 0.7 ggr ursprunglig egenfrekvens. Med flera mjuka kopplingar i serie kan totala styvheten kTOT beräknas från: drivverk-03.jpg.

 


Sammanfattning: De flesta flytande verk kräver en viss form av tillsyn för att prestera sitt optimala och ett misskött flytande verk gör ingen lyssnare glad. Har man inte själv förmåga eller intresse att pyssla om sin spelare så finns det gott om kunnigt folk att anlita. En service kostar inte en förmögenhet och det blir faktiskt mycket roligare att umgås med en väl fungerande skivspelare.

 

 

TALLRIKSLAGER

 

Tallrikslagret har två uppgifter, den radiella lagringen och den axiella.

 

pic-05-12.jpg

 

 

Den radiella lagringen är viktig eftersom den ser till att tallriken alltid ligger i våg under pickupen. Det behövs inte mycket glapp vid spindeln för att ytterkanten på skivtallriken ska avvika från horisontalplan. Remspelare med en motor har en betydande övervikt av den radiella kraften åt ett håll, remmen drar ju tallriken mot motorn.

Spelare med två eller fler motorer lider inte så mycket av denna ensidiga kraft. En direktdriven spelare drabbas inte av detta problem, men en obalanserad tallrik ger en roterande lutning, och det uppstår dessutom knepigheter vid pickupinställning.

 

pic-05-13.jpg

 

 

Den axiella lagringen ska ta upp tallrikens statiska vikt och tillåta den att rotera utan friktion och framför allt utan missljud. Här hittar man många lösningar med allt från en kula av t.ex. stål, keramik eller rubin, via pyramider till olika lågfriktionsplaster typ teflon. Det finns en del tillverkare som använder magneter för att ge en beröringsfri axiallagring. Smart, men det ställer stora krav på konstruktionen.

 

pic-05-14.jpg

 

 

Rör sig tallriken upp/ner på grund av olika tyngd på skivan eller användandet av en skivpuck/klämma kommer pickupens läge i förhållande till skivan att påverkas. Inte bra!

Många kör inte helt beröringsfritt utan låter spindeln vila lite försiktigt mot t.ex. en kula och då kan man säkerställa tallrikens läge i förhållande till pickupen. Det finns några tillverkare som har använt luftspalt istället för magneter. Principen är densamma som för magneterna men kräver en kompressor också. Den lösningen är inte så vanlig så vi går inte djupare än så.

Nästan alla skivspelare använder radiella glidlager men av olika material och utförande.

De flesta bygger dock på att en oljefilm centrerar axeltappen i lagerhuset utan någon metallisk kontakt mellan spindel och lagerbana. Det är bara i vila som lagerkontakt kan ske och så fort tallriken börjar rotera centreras den av oljan.

Oljan är dels till för att minska friktionskoefficienten när tallriken roterar (glider), dels för att fördela mothållet mot remmens kraft. Mothållet ger ett visköst reaktionstryck mot en mycket större yta än vad man kan uppnå med anliggningstryck mellan två fasta material. Oljan bär lagret radiellt. Ett lager av denna typ utförs med ett minimalt glapp mellan spindel och lagerhus. Oljan ska fylla ut glappet, och med rätt viskositet kommer rotationen ge vidhäftning och ett visköst tryck som fördelar sig ganska jämnt mot lagerhuset. Både tid och användning (antal 100-tusentals varv) påverkar hur länge en olja håller sin spänst. Helsyntetiska oljor degraderas inte så snabbt som en mineralolja. Många undrar över mängden olja. Vi kan inte komma på en konstruktion där för många droppar har skadat. Det enda som händer är att överflödig olja rinner ut. Så hellre för mycket än för lite.

 

lager-03.jpg

Tallrikens massa, remkraft och eventuella snedbelastningar rättas upp till ett jämnare tryck mot lagerhuset vid användning av rätt olja.

 

 

För att lagret ska fungera som det var tänkt är det viktigt att välja rätt olja. Kanske inte så mycket vad gäller den kemiska sammansättningen som viskositeten.

Frestas inte att bara ta en olja vilken som. Kontrollera åtminstone att du väljer en olja som är så nära originalet som möjligt. Bara för att oljan du har liggande kommer från en skivspelare innebär det inte att det är rätt olja till alla skivspelare. Det säljs Universal lagerolja till skivspelare på Ebay och det utlovas fantastiska resultat. Den kan säkert fungera till många skivspelare, men garanterat inte till alla. En del har olja tunn som diskvatten och andra kräver en olja som mest påminner om sirap.

Man kan generellt dela in lagren i två kategorier; Vanliga lager med lagerhuset i plinten enligt ovan och det inverterade lagret. Här är en illustration av ett inverterat lager:

 

pic-05-15.jpg

Inverterat lager. Bilden ovan är bara ett exempel, alla spelare är inte byggda så här.

 

 

Från början var i stort sett alla skivspelare utrustade med lagret monterat i plinten och axeln fast monterad på tallriken. Det är framför allt skivspelare med lite tyngre tallrikar som tjänar mest på ett inverterat lager. Lagringen sker där vikten finns och på ett konventionellt lager blir det en lång hävstång nere ifrån axiallagret och upp till vikten. Problemet med inverterade lager har alltid varit smörjningen, men det finns flera olika lösningar i dagsläget.

En tung tallrik som drivs med rem bör ha remmen placerad i underkant för att minimera hävarmen från horisontalkraft på lagerskaftet, vilket kan få tallriken att svaja.

 

pic-05-16.jpg

Inverterat lager med oljekanaler.

 

Den vanligaste lösningen är ett gängat spår eller en spiralformad oljekanal som går från botten och upp till toppen på lagret. Lagerhusets rotation drar med sig oljan upp. Här är det viktigt att använda olja med rätt egenskaper annars fungerar inte denna oljepump.

 

Kuzma%20oil.jpg?dl=0

Kuzma's rekommendationer.

 

 

Sammanfattning om lager: Utan ett friskt lager är det ingen mening att försöka få sin skivspelare i stridbart skick. Har lagret fått stryk av en eller annan anledning, byt ut det. Har skivspelaren stått oanvänd i många år bör man serva lagret innan man startar den. Mineraloljor förändras med tiden och de kan stelna till något som närmast påminner om kåda. Tvätta ur lagerhuset med något lösningsmedel och tops, rengör spindeln, köp ny olja av rätt typ och fyll på lagret. Använd för he__e inte symaskinsolja, det är en rent smörjande (friktionsminskande) olja, det är ingen bärande lagerolja som tål belastning. Är du desperat, ta lite motorolja till bilen i stället, det är bättre.

 

Guest
This topic is now closed to further replies.
×
×
  • Create New...